
COINTEGRACIÓN Y VEC
COINTEGRACIÓN Y VEC
Por Juan M. Gutierrez
En esta práctica estudiaremos la relación entre la dinámica del índice de precios al consumo en la Comunidad de Andalucía y los del conjunto de España. De acuerdo a la ley del precio único, los precios de las diferentes áreas geográficas de un mismo país deben converger de forma que el arbitraje debe hacer que se encuentre evidencia para, al menos, uno de estos dos hechos:
- Los precios en la Comunidad reaccionen positivamente a shocks inflacionistas en España.
- Los precios en el conjunto de España reaccionen positivamente a shocks inflacionistas en Andalucía.
Un índice de precios al consumo es una media ponderada de los precios observados en un área geográfica. Series del índice general de precios al consumo pueden obtenerse del Instituto Nacional de estadística a través de su página web www.ine.es. Una vez en la página pulsamos IPC índice de precios al consumo y en la página que aparece hacemos clic Indice de precios de consumo en INEbase. Luego vamos a series mensuales y, una vez allí a Indices por comunidades autónomas: general y de grupos COICOP. Entonces descargamos las series mensuales nacional y de la comunidad de Andalucía.
Algunas transformaciones más usuales
| Comando | Descripción |
|---|---|
dy=d(y) | Crea la variable dy como la primera diferencia de la serie y. |
d2y=d(y,2) | Crea la variable d2y como la segunda diferencia de la serie y. |
dny=d(y,n) | Crea la variable dny como la n-ésima diferencia de la serie y. |
dsy=d(y,0,s) | Crea la variable dsy como la diferencia estacional de la serie y. Si la serie es trimestral, s será igual a 4, si es mensual será 12, etc. |
ly=log(y) | Crea la variable ly como el logaritmo de la serie y. |
dly=dlog(y) | Crea la variable dly como la primera diferencia del logaritmo de la serie y. |
dnly=dlog(y,n) | Crea la variable dnly como la n-ésima diferencia del logaritmo de la serie y. |
dsly=dlog(y,0,s) | Se obtiene la misma transformación que antes, pero sobre la frecuencia estacional respectiva. |
ten=@trend | Crea la variable ten como una variable tendencia. Tomará valor cero para el primer periodo muestral y, a continuación, irá tomando incrementos unitarios: 0, 1, 2, 3, ... |
seaj=@seas(n) | Crea la variable ficticia seaj. Tomará valor uno cuando el periodo estacional coincida con el valor de n. Por ejemplo, si la frecuencia es trimestral y hacemos: sea4=@seas(4), el resultado será: 0, 0, 0, 1, 0, 0, 0, 1, ... |
Análisis visual de las series
Antes de proceder al análisis econométrico es conveniente un estudio visual de las series para conocer sus propiedades. Se trata de una serie con crecimiento sistemático y su evolución suave parece sugerir la necesidad de tomar, al menos, una diferencia (regular o estacional) para conseguir estacionariedad.
A pesar de que no existe una fuerte evidencia de heterocedasticidad de la serie respecto al nivel, consideramos su transformación logarítmica. La transformación logarítmica rara vez perjudica la interpretación de las propiedades de la serie. Además, en nuestro caso permite liberarnos de la arbitraria unidad de medida de los números índices pudiendo interpretar las diferencias como tasas de crecimiento.
El correlograma de la transformación logarítmica de ambas series también sugiere la conveniencia de tomar al menos una diferencia para conseguir que la serie sea estacionaria.
Series de IPC general en España y Comunidad de Andalucía
Series de IPC general en logaritmos para España y Comunidad de Andalucía

Correlograma del IPC en Andalucía

Correlograma del IPC en España

Tras una diferencia regular, los correlogramas de ambas series muestran correlaciones significativas en los retardos múltiplos de seis y de doce que persisten en el tiempo. Esto es una clara muestra de la necesidad de tomar, al menos, una diferencia anual para conseguir la estacionariedad. Es importante recordar que una raíz anual ya contiene una raíz regular más otras raíces que están relacionadas con el comportamiento cíclico de la serie en las diferentes frecuencias armónicas. En este caso, tomar sólo una diferencia regular no transformaría las series en estacionarias.
Primeras diferencias del logaritmo del IPC en la Comunidad de Andalucía

Primeras diferencias del logaritmo del IPC en España

Siguiendo la evidencia gráfica, tomamos una diferencia anual de la serie de Andalucía y España. A continuación se muestran los gráficos y correlogramas de dichas series:
Gráfico y correlograma de las diferencias anuales del IPC en Andalucía


Gráfico y correlograma de las diferencias anuales del IPC en España

Los gráficos de ambas series parecen indicar oscilaciones locales de nivel con persistencia en diferentes valores medios durante el periodo de análisis. Esto parece indicar la existencia de diferentes cambios estructurales en la tasa de inflación que pueden aproximarse mediante un modelo que considera que el IPC necesita una diferencia regular y una anual para convertirse en estacionaria.
Test de raíces unitarias
Para un análisis más formal, realizamos un test D-F de raíces unitarias cuyos resultados, mostrados a continuación, confirman la necesidad de tomar una diferencia adicional.
Test de raíces unitarias para las series con diferencias anuales





Una vez que tomamos una diferencia regular y una diferencia estacional, los gráficos de ambas series parecen mostrar que son estacionarias. Además, en el test D-F, la hipótesis nula se rechaza a los niveles de significación habitual.
Gráfico y test D-F para el IPC de España con una diferencia regular y una diferencia anual



Gráfico y test D-F para el IPC en la Comunidad de Andalucía con una diferencia regular y una diferencia anual



Análisis multivariante
En análisis multivariante lo realizamos con la transformación estacionaria de ambas series. Para ver si existe retroalimentación entre las variables que analizamos, se muestran los contrastes de causalidad de Granger:

El test indica que no existe una retroalimentación fuerte entre estas dos series. Sin embargo, es importante enfatizar que el test de Granger no es un test de causalidad económica sino es sólo una forma de ver si los movimientos de una variable preceden a las otras.
A pesar de que el test de Granger no indica una correlación importante entre las dos series, con el propósito de ilustración estimamos un modelo VAR. Para eso pulsamos 'quick/estimate VAR' y escribimos en las variables endógenas: d(lesp,1,12) y d(lcand,1,12) y seleccionamos el número de retardos que minimiza el criterio de información de Akaike que es 1.
Los resultados de la estimación se muestran a continuación:

Los modelos VAR son modelos muy complejos (con muchos parámetros a estimar) y rara vez sirven para hacer predicciones. Pero si son útiles con propósito de simulación para ver como un shock inesperado en una de las variables afecta a las otras variables. Esto se puede hacer en EViews mediante la opción 'Impulse'. Para que podamos hacer este tipo de análisis es necesario ortogonalizar los shocks ya que, por ejemplo, los residuos en la ecuación de inflación en Andalucía pueden estar contemporáneamente correlacionados con los residuos de la ecuación de la inflación en España por lo que no sabríamos si los valores de los residuos en una de las ecuaciones están relacionadas con un shock estructural en Andalucía o España. EViews por defecto considera la opción de Cholesky para la ortogonalización (mirar en 'impulse response' dentro de 'impulse definition'). Esta opción consiste en imponer que la última variable está afectada contemporáneamente por movimientos en el resto de las variables, la penúltima está afectada contemporáneamente por todas las variables menos la última y así sucesivamente. El orden de las variables que utilizamos es: crecimiento de la inflación en Andalucía, crecimiento de la inflación en España.
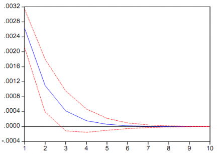
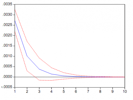
Funciones de impulso-respuesta
Las respuestas de cada una de las variables a shocks en las otras variables se muestran a continuación:
Response of D1D12LESP to Cholesky One S.D. D1D12LCAND Innovation

Response of D1D12LCAND to Cholesky One S.D. D1D12LESP Innovation

Estas respuestas indican que un shock en la inflación en Andalucía genera un incremento inflacionista en España. Sin embargo el IPC de la Comunidad de Andalucía no parece reaccionar de forma significativa a shocks inflacionistas en España.
Para asegurarnos que las respuestas son robustas al orden de las variables en la descomposición de Choleski generamos respuestas a shocks usando el orden inverso obteniendo resultados cualitativamente similares:
Response of D1D12LCAND to Cholesky One S.D. D1D12LESP Innovation

Response of D1D12LESP to Cholesky One S.D. D1D12LCAND Innovation

Conclusiones del análisis VAR
Aunque los resultados que encontramos son consistentes con la teoría económica, en general esto no siempre es así. Cuando esto ocurre probablemente la especificación no es la correcta. Por ejemplo, uno debe estar seguro de incluir todas las variables relevantes en el modelo y que el número de retardos y de elementos deterministas en el modelo es el adecuado. También es importante considerar que en este ejercicio hemos diferenciado ambas series para que sean estacionarias antes de realizar el análisis econométrico. Sin embargo, podría ser el caso que las series de IPC de España y Andalucía tuvieran una tendencia común. El material que se mostrará en el tema 5 permitirá realizar este tipo de análisis de forma más eficiente.
Estimación univariante
Por último, vamos a ver cómo cambian los resultados de nuestra simulación si estimamos una única ecuación para el crecimiento del IPC en Andalucía y asumimos que no hay retroalimentación:

Vemos que los resultados de esta estimación son idénticos a ecuación de Andalucía en el modelo VAR. Esto no debe causar sorpresa dado que los modelos VAR se estiman eficientemente ecuación por ecuación al tener todas las ecuaciones del sistema las mismas variables explicativas. A partir de esta estimación observamos que el efecto a largo plazo del crecimiento de la inflación en España en el crecimiento del IPC Andaluz es:

ESCUELAS DE LA ECONOMÍA , Y CORRIENTES DE PENSAMIENTO POR ÁREAS
Un organigrama visual para entender la evolución y las relaciones entre las principales escuelas del pensamiento económico, desde los clásicos hasta las corrientes modernas.
El modelo VAR: Por Stock & Watson
Los métodos en ciencias de datos en las aplicaciones para la economía tendrían que estandarizar los procedimientos principalmente por el nivel de precisión que se logra con mayor tiempo y conocimiento del analista.

¿Te gustó este contenido?
Obtén certificados verificables en Python, Data Science y Machine Learning.
Ver Certificaciones Disponibles →